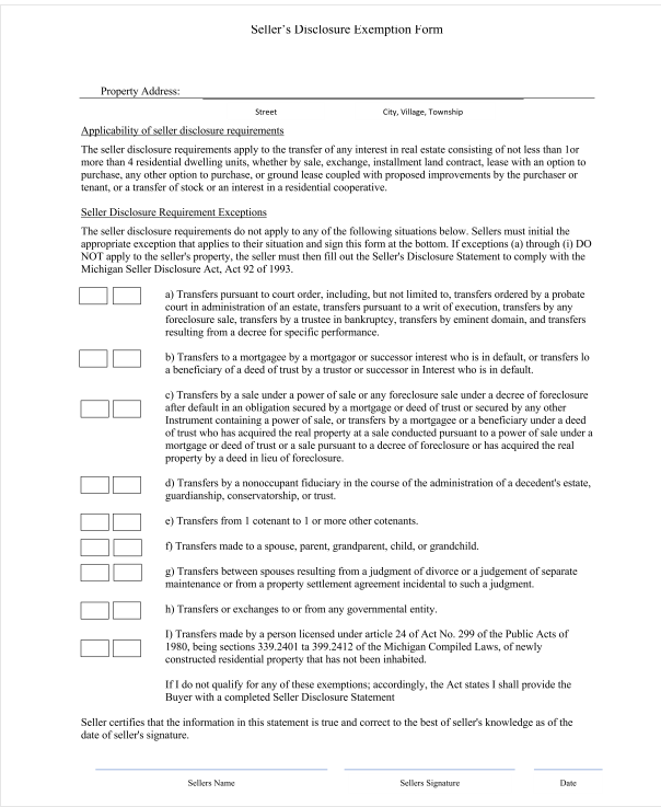
If a seller claims they are exempt from sellers disclosures, use the Sellers Disclosure Exemption form. Here is a sample which shows the exemptions.
Please note Lansing (GLAR) has a different sellers disclosure than GRAR or Detroit.